Глава II Народонаселение
Глава II
Народонаселение
Численное доказательство прогресса нашего времени по сравнению с прошлыми веками. — Возрастной состав народонаселения у половины всего человечества. — Предельный и средний возрасты народов. — Переходное состояние России
Почти все суждения мудрецов древних времен и большинства новых носят характер качественный, а в этом случае очень легко впадать в софизмы, как это показал особенно ясно во многих диалогах Платон. Когда дело идет о чисто духовных предметах и отношениях, тогда и по настоящее время в огромном большинстве случаев приходится ограничиваться качественными сторонами обсуждаемых предметов. Оттого тут столь часто встречаются явные ошибки и разительные противоречия в суждениях, исходящих, по видимости, из одних и тех же посылок. Но вот уже два или три столетия, особенно с того времени, как Галилей и Ньютон повернули все естествознание при помощи не столько качественных, сколько количественных соображений и показали, что этим путем легче всего можно достигнуть познания невидимого как бы видимого и быть уверенным в желаемом и ожидаемом как бы в настоящем, и с тех пор во всех частях науки, т. е. во всем искании истины, стремятся по возможности разыскать численные, измеримые признаки, свойства и отношения, чтобы, руководясь ими, находить количественные законы, носящие название эмпирических, или опытных. Этим путем лучше и тверже, чем прежними путями, укрепилась уверенность в существовании незыблемых Божеских законов, логическую причину которых часто вовсе и не знают или только предполагают гипотетически, без всякой уверенности в истине предположений.
Так, в сущности, нам и до сих пор темна причина такого основного закона, как Ньютонов закон тяготения, что, однако, нисколько не препятствует пользоваться им с полной уверенностью в бесконечном числе случаев. Древнему человеку нужно было исходить из начала всех начал, что, в сущности, и привело Древний мир к розни и падению. Еще и поныне нередко встречается научное стремление признавать справедливым и общим только то, что становится понятным исходя из ряда качественных убеждений, сведений и обобщений, полученных ранее, так что несомненному даже количественному свидетельству действительности часто до тех пор не верят, пока дедуктивным путем не найдут надлежащих объяснений.
Особенно ясный пример этому виден нередко в исследованиях по вопросам политической экономии, когда сомневаются в истинном значении протекционизма, хотя не решаются отрицать явной пользы от него в действительности. Новый человек, становясь реалистом, более скромен и довольствуется постижением доли истины, надеясь по частям открыть все ее тайны. До наших дней это относится преимущественно к миру внешнему или материальному, однако уже существует не напрасное стремление приложить тот же путь исходя из действительности, измеренной с возможною полнотою, к изучению духовных явлений. Социальный мир, или дела, относящиеся к людям и их отношениям, занимают здесь в некотором смысле средину, и с нее естественно было людям начать переход от изучения веществ к изучению духа. В социальных же отношениях количественные величины добываются путем собрания статистических сведений.
Сколько-либо точная статистика с ее методами и анализом началась, можно сказать, только в XIX в. Говоря о народном благе, можно по манере древних ограничиваться качественными отношениями, но лучше, т. е. вероятнее, достичь какого-нибудь успеха, пользуясь при этом числами статистики. В своем изложении я так и стараюсь поступать во всем том, для чего имеется готовый запас статистических данных; их часто недостает, и они, несомненно, очень сложны; из них можно извлекать лишь первые эмпирические выводы, но, руководствуясь ими, все же можно быть уверенным в том, что всякие заключения будут более правдивы и скорее приведут к начальным истинам, чем всякое соображение чисто логического свойства с идеальными или качественными материальными предвзятыми посылками.
В начинаемом ряде мыслей и соображений, касающихся народного блага, на первом месте в указанных отношениях должно поставить соображения, касающиеся народонаселения вообще, потому что, как бы там ни было, с какой бы точки отправления мы ни пошли, во всяком случае, благо народное есть дело общее, касающееся совокупности людей, сложившихся в народы и государства ради тех или иных целей. Собрания статистических данных о народонаселении ныне уже весьма многочисленны, и я кладу засим в основу всех своих рассуждений численные результаты, добытые в переписях. Стараюсь воздержаться при этом по возможности даже от рассмотрения того коренного вопроса, которым с древности занималось человечество, а именно воздерживаюсь от разрешения вопроса о том, нужно ли для блага человечества вообще и для блага отдельных народов умножение народонаселения, или оно после некоторого предела представляет вредную сторону предмета.
Древние, начиная с Ликурга и римских законодателей, считали первым благом народным умножение числа людей. Такого же воззрения и ныне держится по инстинкту масса человечества, и, высказываясь кратко, мне наиболее симпатично такое представление, но я знаю, что в новейшее время, особенно после того как наиболее энергичные люди из Западной Европы стали выселяться в Америку, и в особенности со времен Мальтуса, существует весьма развитое рассуждение, требующее ограничений в размножении человечества, руководясь преимущественно тем соображением, что для беспредельного увеличения человечества полагается предел в ограниченности земной поверхности, тем, что средства для существования заимствуются с этой поверхности и не могут беспредельно умножаться, тем, что при возрастании народонаселения возрастать будто бы должна и бедность, так как благ земных не хватит для всех, и тем, наконец, что рай земной и золотой век привыкли видеть в начальном быте человечества вслед за его творением и развитием в тропических условиях, где сама природа дарит людям все условия существования.
Мне кажется, совершенно излишне вновь опровергать посылки этого рода и узкую ограниченность мальтусовского учения, потому что достаточно указать на одно то, что после Мальтуса, хотя прошло 70 лет, блага в человеческой жизни не убавились, а прибыли и бедствия, подобные голодовкам, сплошному мору людей и крупным истощительным войнам, не увеличились, а явно уменьшились. Не понадобится мне разбирать этот предмет еще и потому, что всякому реалисту очевидно, что мы живем в такую эпоху, когда для увеличения населения и среднего народного блага не видно еще никаких естественных преград, так как земной поверхности еще много пустует, а расселение далеко от равномерности, в добыче же пищи и всяких средств к жизни виден явный прогресс, так что данная площадь земли ныне дает или может давать несомненно гораздо более, чем давала за сто лет сему назад, впереди же и подавно, если реальные знания, промышленность, торговля, пути сообщения, стремление к миролюбию и т. п. не будут ослабевать и станут продолжать развиваться в такой же мере, как в последнее время.
Изменение численности популяции со временем в модели Мальтуса (? — рождаемость; ? — смертность)
Допустим даже то, что со временем достигнется повсюду мальтусовская теснота населения, не позволяющая общего умножения достатка вместе с умножением народонаселения, все же не иначе как с отвращением должно отнестись к практическим выводам Мальтуса, касающимся искусственных, сознательных и прямых мер к уменьшению возрастания населения, уже потому, что это возрастание при современном положении вещей, а тем более при предстоящем, необходимо вести за собой развитие просвещения (без него же нельзя и ждать густоты населенности) и всей частной сознательности людских действий, а вместе с ними и того, что называется нервностью, и тогда, наверное, само собой должно наступить некоторое равновесие между естественным стремлением к размножению и трудностью обеспечения возрастающего поколения, что и должно само собой, без каких-либо искусственных мер, привести к высшему, или предельному, количеству людей на Земле, — пока не найдутся новые средства для их обеспеченности и общего прогресса вроде добычи при помощи морей не только питательных веществ, но и всех других условий жизни или вроде искусственного, на фабриках и заводах, а не на полях и лугах, добывания питательных средств. С реальной точки зрения такая эпоха еще далека, как видно уже из грубого расчета.
Окружность земного экватора равна 40 077 км, а меридиана — 40 008 км (средний радиус равен 6373 км), общая поверхность Земли — около 510 млн кв. км; суша, не считая северных и южных полярных областей, пока еще неизвестных, составляет около 135 млн кв. км. Из этой поверхности суши при современном состоянии вещей должно исключить площадь, занимаемую полярными тундрами, скалистыми горными хребтами и бесплодными песчаными пустынями вроде Сахары, хотя человечество, вероятно, воспользуется со временем и ими для умножения условий жизни. Исключению, таким образом, подлежит никак не более как 60 млн кв. км суши, неспособной ныне к культуре, все же остается по крайней мере около 75 млн кв. км земли, прямо ныне способной к разведению растений, животных и к жизни человека. Отчисляя отсюда почти целую четверть поверхности для возведения жилищ и вообще зданий, на дороги, воды и т. п., все же получим в реальности цифру не менее 56 млн кв. км земли, пригодной для растительности. Из нее отчислим еще одну четверть на леса, так как при нынешнем состоянии цивилизации леса должно считать нужными людям для правильного ведения всего их хозяйства, хотя со временем, быть может, придет эпоха, когда леса станут давать свои особые питательные вещества, а не так, как ныне, — только топливо и поделочный материал для стройки, мебели, бумаги и т. п. Тогда за вычетом лесной площади все же остается для культуры не менее 42 млн кв. км, или более 4 млрд га, или около того же десятин. Вообще для всей суши можно ныне смело считать лишь треть земли пригодной и свободной для сельскохозяйственной обработки. Но если взять лучшие большие и теплые страны, почти лишенные негодной земли, то все же надо отчислить на жилье, дороги, воды не менее 1/3 поверхности, а потому в лучших случаях для сельского хозяйства можно выделить до 2/3 всей земли.
Не вдаваясь в рассмотрение, сколько питательных веществ может дать гектар или десятина земли в разных климатах, не подлежит сомнению, что уже ныне на 131 508 кв. км всей земли (без всяких исключений: скал, городов, гор и пр.) на Яве живет более 26 млн жителей, т. е. приходится уже по 2 чел. на гектар всей земли или по 3 чел. на гектар обрабатываемой и способной к обработке земли, и что в китайской провинции Фокиен, лежащей против Формозы, теснота населения такова же или еще больше, потому что ее поверхность менее 99 800 кв. км, а жителей более 22 миллионов. Ни Ява, ни Фокиен не нуждаются в привозном хлебе или лишь в ничтожно малом, т. е. могут прожить своими средствами; правда, жители эти не богаты, даже по временам сильно бедствуют, но таковы свойства всех чисто земледельческих стран, и мы все знаем, что бедность этих стран зависит не от недостатка питания в общем среднем, а исключительно от первичной простоты всего обихода этих стран, от отсутствия в них должной свободы труда, образованности и предприимчивости, а также, вероятно, отчасти от недостатков их общественного устройства. Но нельзя забывать, что это страны тропические, с климатом и почвой, особо благоприятными для растительности и далекими от среднего. К нему ближе страны Европы. Возьмем и здесь примеры тесноты.
Вся поверхность собственно Англии и Валлиса (Уэльса) без исключений (гор, городов, дорог, лесов и т. п.) равняется 151 тыс. кв. км, на которых живет более 32 млн жителей, следовательно, приходится (ибо в 1 кв. км 100 га) опять более 2 человек (на всякий гектар), а по исключении 1/3 земли на скалы, внутренние воды, жилища, дороги и леса на гектар земли, способной к обработке, — более 3 жителей. В Бельгии (поверхность 29 456 кв. км, жителей более 6,5 млн) тесноты еще более. Правда, Англия и Бельгия ввозят хлеб и другие питательные вещества, но не потому, чтобы не могли разводить их в достаточном количестве для питания своего народа, но лишь потому, что в этих странах вследствие развития других видов промышленности, дороговизны земли и труда и дешевизны привозного хлеба ныне невыгодно заниматься хлебопашеством, а аграрные и политические порядки давно внушили, особенно в Англии, мысль о большой выгодности для всего блага народа развивать преимущественно другие виды промышленности и на них основать народное богатство, что, как известно, и удалось. Площадь Германии, опять без вычета городов, гор, лесов и т. п., равняется 540 750 кв. км, на которых живет 57 млн жителей, следовательно, в среднем приходится на 1 га более 1 жителя. Отчислить из всей земли Германии на горы, города, леса и т. п. необходимо по крайней мере 180 тыс. кв. км, так что останется для обработки удобных земель около 360 тыс. кв. км, или 1,6 человека на гектар. Но Германия обрабатывает и оставляет под лугами, судя по официальной таксации 1893 г., 35 млн га, т. е. в ней культура доведена до возможного ныне предела, и она, как известно, ввозит хлеб, т. е. своего ей недостает при современных порядках хозяйства, в известной мере уже улучшенного. Поэтому для таких стран, как Германия с ее климатом, нельзя ныне считать более как 3 жителей на 2 га сельскохозяйственных земель.
В России, хотя всей земли в целом еще очень много, есть уже местности, где теснота достигла английской и германской. Та северо-восточная часть Клинского уезда (на северо-восток от Николаевской железной дороги), где расположено мое имение, так же густо населена, как Англия или Бельгия. Там народ не голодает, потому что есть много фабрик и заводов, но ему недостает своего хлеба на целый год, с весны уже покупают хлеб, но я прямо вижу, как много земель еще пустует в этих частях Клинского уезда. Если бы их засевали, хлебов был бы избыток; не засевают же только потому, что есть на что купить недостающий хлеб. В Полтавской губернии всей земли около 5 млн га, а способной к земледелию и скотоводству, вероятно, не менее 4 млн га, жителей же в 1897 г. было 2,8 млн, т. е. на каждого приходится около 1,5 десятин сельскохозяйственной земли. В Петроковской губернии всей земли 1 223 тыс. га, а жителей было в 1897 г. 1 409 тыс., следовательно, и всей земли здесь приходится на жителя меньше, чем в Германии, а способной к земледелию и подавно. Не умножая примеров, можно поэтому с уверенностью сказать, что уже в наше время 1 га земли, способной к культуре, достаточно в среднем для всей земли не менее как на 2 жителей, т. е. не подлежит сомнению, что, вычтя леса, города, дороги, скалы и вообще неспособные к культуре земли, ныне должно рассчитывать на возможность получить с 1 га культурной земли в среднем по крайней мере столько растений и животных, сколько нужно для 2 жителей. Со временем, конечно, урожаи еще возрастут, но, даже ограничиваясь пропорцией 2 чел. на гектар культурной земли, можно видеть, что ныне на Земле может жить не менее 8 млрд людей на вышеисчисленном количестве земли, способной к культуре, т. е. на 4 млрд га. Живет же на Земле, как должно ныне признать, не более 1,6 млрд людей{117}. Следовательно, всякие мальтусовские бредни ныне к делу не относятся; человечество их не слушается, несомненно размножаясь.
Естественный прирост человечества, т. е. годовой перевес рождаемости против смертности, в разных странах различен, и для жителей всей Земли в среднем его можно принять ныне в 1 %, т. е. в год прибавляется на 100 человек по 1 человеку. В России этот прирост выше, чем в остальных частях Европы, именно никак не менее 1,4 %. В других европейских странах он пониже, например в Голландии, Германии и Норвегии — около 1,3 %; в Англии, Швеции, Италии и др. — от 0,8 до 1,2 %; в Испании, Швейцарии и т. п. — менее 1 %, а во Франции за последнее время близок к 0 %, хотя в ней приходится не более как 72 жителя на квадратный километр в среднем.{118} В С.-А. С. Штатах, над числом жителей которых мы далее остановимся подробнее, естественный прирост несомненно более 1 %; то же можно сказать о Южной Америке. На Яве, где переписи ведутся уже давно и где голландское правительство мудро и мягко правит народом, прирост превышает 1 %. В Японии он также несомненно значительно выше 1 %. В азиатской Индии, находящейся под английским владычеством, естественный прирост долго был не менее 0,7 % и только в 90-х годах опустился вследствие смертности от голода до трети процента. Для Китая, Сиама и соседних стран, как и для совокупности всей Африки, прирост хорошо не известен, но путешественники единогласно показывают, что детей в этих странах множество, а потому едва ли можно полагать, что там естественный прирост менее 1 %. На основании этого можно с уверенностью утверждать, что общий прирост человечества в настоящее время если не равен 1 %, то близок, хотя есть сравнительно небольшие страны, подобные Франции, где народонаселение почти не возрастает, и есть народы или их отпрыски или части вымирающие, подобно нашим самоедам или некоторым природным жителям Новой Зеландии и некоторым индейским племенам.
Такое вымирание целых народов или племен под влиянием встречи с другими народами несомненно существовало в прежнее время в огромных размерах. Войны, вытеснение народов друг другом, моровые язвы всякого рода и такие первичные обычаи, как людоедство, действовали в ту же сторону. Все это следует намотать на ус тем, кто, говоря о благе народном, ссылается на времена прошлых периодов человечества.
Численный расчет еще яснее подтверждает это, показывая, что в прошлые времена жизни людей хотя и был избыток земли, размножение людей шло гораздо медленнее, чем идет ныне, и, доказывая этим лучше, чем какими-нибудь другими способами, действительные успехи (прогресс) человечества, так как увеличение наличности действительного прироста народонаселения может происходить только при улучшении общих жизненных условий, при уменьшении гибели части людей и при убыли слез отцов и матерей, видящих погибель детей от недостатков ли питания, или от войн, или от болезней и пороков. Исходя из современного количества жителей Земли, равного 1,6 миллиарда, и из современного среднего прироста в 1 %, легко вывести, что первый миллион людей при современном среднем приросте жил бы не более как за 750 лет от нашего времени, т. е. около 1150 г. по Р. X.{119}
Несомненно, что человечество, даже китайское, ассирийское, было уже очень многочисленно за 4000 лет до Р. X., т. е. тысяч за шесть до нашего времени. Отсюда несомненно следует, что в эти 6000 лет, несмотря на то что земли приходилось на каждого больше, чем ныне, средний прирост несомненно был ниже современного, а это значит, что древние порядки были не лучше, а много похуже современных и те, которые плачутся о давно прошедшем, вовсе не имеют в виду реального общего блага, руководятся же только слащавыми предрассудками.
Если считать, что прирост сохранится и впредь близким к 1 %, т. е. число жителей всей Земли будет удваиваться примерно в 60–70 лет, то через 100 лет, т. е. к 2000 г., получится жителей на Земле более 4 миллиардов, и тогда теснота будет такая же почти повсюду, как теперь в Германии. Этим численным способом совершенно просто и наглядно, т. е. реально, объясняется причина того, что все передовые страны с густым населением, даже маленькая Бельгия, в наши дни озабочены приобретением колоний. Англия, Франция и Германия и тут стоят впереди всех других народов, а Россия заблаговременно и дальновидно заняла соседние с нею пустыни. Этому же помогают еще в большей мере распространением таких реальных специальных знаний, которые дают и еще более обещают дать как всякие новые полезные занятия людям, так и умножение производительности всей земли. Всего же важнее для общей цели наших статей обратить внимание на то, что нынешний порядок течения дел во всем мире, особенно отсутствие губительных войн, заботы о прекращении распространения повального мора людей (чума, холера), и развитие сношений всех стран по морям и железным дорогам привели к тому, что жить всем людям во всем мире стало немного полегче, чем было еще недавно, и люди стали от этого размножаться больше, чем прежде. Именно тут прежде всего должно искать причину перемены множества прежних основных понятий и необходимости найти новые способы жизни людской (см. Вступление).
Карта Европы в XIX в.
В числе моих заветных мыслей на первом месте стоят вопросы этого рода, оттого с них и начал. Причину перемен, наступивших в мире, нельзя приписать ничему иному, как распространению во всем человечестве того, что называется гуманностью, или человечностью, того, что содержится в понятиях современных реалистов о возможности избежать войн, того, что заставляет заботиться больше о детях, чем было прежде, и того, что содержится в широком понятии о свободе труда. Еще недавно, очень недавно не была видна впереди теснота Земли, а теперь она для зрячего совершенно очевидна, и нельзя отказать Мальтусу в том, что он один из первых ее увидал в будущем. Но он не видел ни того, что наука будет находить возможность расширения всех условий жизни, ни того, что только при тесноте населения и при развитии всяких видов промышленности является совершенно живая насущная необходимость в просвещении, в развитии свободы труда и во всем прогрессе человечества, ни того, что при большой массе людей больше, чем при малом их количестве, затрудняются все те дела, которые вредят обществу и которые дают лишенный необходимости перевес немногим над остальными, ни того, наконец, что вообще, чем теснее, тем дружнее.
Тесноты людей не то что следует избегать, но необходимо искать, чтобы жизнь шла не черепашьим шагом, а скорым, современным, бодрым. Это относится столько же ко всему миру, сколько и к России, если она продолжит Петром Великим завещанный, Александром III реально начатый порядок развития всех видов промышленности, в том числе и земледелия. Если с промышленностью русский народ начнет хоть немного богатеть, как он явно богатеет у меня на глазах в Клинском уезде, то он не перестанет плодиться и еще умножит прирост, тогда всем хватит хлеба если не своего, то покупного, и, удваиваясь примерно в 40 лет (прирост равен 1,4 %), он неизбежно выделит большой процент жителей для развития других видов промышленности и для профессиональной деятельности всякого рода, что вместе с развитием просвещения и составит силу народную, даст возможность поддержать свою самостоятельность и развить свои особенности. Не о задержке прироста здесь может быть речь, а о поддержании его и об умножении условий жизни будущих поколений. О том, что для этого, по моему мнению, особенно важно сделать, и будет говориться в части дальнейших моих статей.
Средняя величина прироста, по всей видимости, хотя и не сплошь, имеет все шансы возрастать до некоторого предела, а затем, по всей достоверности, должна будет или остановиться, или падать, так как для беспредельного роста количества людей несомненно должен существовать предел, определяемый ограниченностью земной поверхности. Но ныне ничто не указывает на близость достижения не только предела прироста общего числа жителей, но и общего числа людей. Во всяком же случае современную эпоху человечества должно считать более благоприятною для возрастания числа жителей, чем какую-либо из предшествующих. Это составляет один из внешних признаков действительности современного прогресса человечества, так как в природе людей, как и всяких организмов вообще, вложено стремление к размножению, и о благе человечества нельзя говорить, не исходя из сведений о количестве народонаселения.
В вопросе о народонаселении после прироста на первом месте во всех отношениях должно поставить распределение жителей по возрастам и полам. Последняя сторона вопроса представляет, однако, интерес, ограниченный в экономическом смысле, потому что повсюду в мире число мужчин и женщин близко друг к другу, иногда немного более, иногда немного менее, что общеизвестно и что определяет, однако, некоторые не особенно существенные экономические явления. Распределение же по возрастам, напротив того, имеет громадное значение во всех социальных отношениях, так как все они определяются трудом людей, а малолетние и старики в нем не могут принимать участия. Какие пределы возраста должно считать работоспособными и трудоспособными — это особый вопрос, видоизменяющийся по географическим и социальным отношениям стран. Есть, например, народы, у которых на стариков возлагается труд правительственного совета, и есть народы, как китайский, где старики представляют экономические единицы, к которым относятся все остальные младшие поколения. В будущем должно ждать, что дети известного возраста, примерно лет до 17, будут заняты сплошь учением, так как сделаться человеком в истинном смысле можно будет со временем, только пройдя все усложняющийся круг готовой человеческой мудрости, без чего нельзя плодотворно прожить.
Если говорить об умеренных и северных климатах, то настоящую трудоспособность должно считать не иначе как в возрасте 20 лет и не позже 60 лет. Здесь рождается очевидный вопрос о распределении людей по возрастам. На первый взгляд, кажется, что оно не может быть сколько-нибудь единообразным в разных странах и условиях, но действительное исчисление ясно доказывает, что оно довольно однообразно в странах, стоящих на близкой степени просвещения, и мало различается даже при глубочайшем различии живущих народов, например у японцев и англичан.
Просвещение и тут играет свою роль главным образом потому, что молодые организмы, в особенности в первые годы жизни у народов непросвещенных и небогатых, вымирают в большем количестве не только от недостатка медицинской помощи и от лишений, но главным образом от неразвитости матерей, на которых лежит естественная обязанность ухаживать за детьми малого возраста, если отцы обязаны добывать средства для всей семьи.
Но там, где степень образованности и богатства народного близки между собою, там распределение по возрастам оказывается поразительно сходственным. Для показания этого из множества имеющихся данных избраны мною числа подробных переписей Германии и С.-А. С. Штатов. Но в этих последних, как всякому известно, немалый процент жителей составляют негры, индейцы и переселенцы разных стран, и этих последних, очевидно, нельзя ставить в один разряд с жителями, родившимися в самих Штатах. В этом отношении американские переписи дают всю возможность сделать различение, и приводимые ниже числа относятся лишь к белым жителям штатов, родившимся в них от матерей и отцов — уроженцев самих Штатов.
Приводимые далее числа (табл. 1) взяты не из последней переписи Штатов (1900), а из предшествующей, 11-й переписи 1890 г., так как тома последней переписи дошли до меня лишь недавно.
Таблица 1
По 11-й переписи, всех жителей в 1890 г. было 62,6 млн, но в их числе природных белых жителей от матерей и отцов, в Штатах родившихся, было только 34,3 млн, и вот они-то сочтены в нашем дальнейшем расчете (исключая лишь 47 тыс. жителей неизвестного возраста). В прилагаемой табл. 1 для Германии и Штатов приведены не только абсолютные числа в тысячах жителей каждого возраста, но и процентные количества лиц каждого возраста, чтобы дать легкую возможность сделать сличение. Ввиду сходства процентных чисел в последнем столбце дан средний процент возрастного состава.
Исходом в первом столбце служит возраст, считая 5 лет за единицу, и если стоит, например, число 30–35, то это значит, что табличное число показывает число жителей в возрасте более 30 лет, но менее 35 лет. Приводить же числа по годам, например от 1 года до 2 лет или от 30 до 31 года, было бы не только неудобно по множеству чисел, но и непоучительно, потому что какой-нибудь правильности можно ждать только от средних больших величин, а в мелочах и частностях можно подразумевать всегда мелкие неправильности, зависящие от множества обстоятельств, например от недородов в известные годы, от войн, от присоединения новых областей и т. п., что падает на определенные времена, отвечающие рождению лиц данного возраста. Такие частные влияния до некоторой степени сглаживаются, когда в таблицах приведено количество людей в возрасте, различающемся на 5 лет, как это сделано в прилагаемой таблице. Притом не подлежит сомнению, что точность показания возраста при переписях сравнительно невелика, так как точная проверка о возрасте каждого жителя совершенно невозможна.
Если же взять пятилетний промежуток, то, деля число жителей каждого возрастного периода на 5, мы получим число жителей в среднем возрасте, например из числа жителей 30–35 получим, деля на 5, число жителей в возрасте от 32 до 33 лет, что и обозначено далее чрез 33. При этом делается, конечно, предположение, что в течение 5 лет возрастание идет арифметически пропорционально годам, т. е. выражается линейным образом по годам. В частности, т. е. в узком пределе лет, это всегда можно допустить, принимая во внимание возможные погрешности каждого отдельного числа, отнесенного к году
Выражаясь алгебраически, всякую небольшую долю кривой линии можно представить в виде прямой линии. Но это, конечно, не относится ко всей совокупности чисел, потому что они выражаются не прямою, а кривою линиею, которая одна и представляет свой особый интерес, выражая собой изменчивые отношения между числом лет п и числом жителей данного возраста, которое мы означаем через у. Отношения этих чисел мы далее рассмотрим, приведя исходную таблицу. Оригинальные числа для Германии взяты из «Statistisches Jahrbuch f?r das Deutsche Reich f?r 1900», с. 3, а для Штатов — из «Abstract of the eleventh census 1890», c. 58.
Из приведенной табл. 1 видно, что относительное (процентное) число жителей разного возраста в Германии и Штатах чрезвычайно близко, отчего и можно было взять среднее и в этом среднем у, отнесенном к определенному году п, можно ждать уже сглаживания частных погрешностей отдельных переписей, потому что среднее относится к 85 млн жителей. Этого же среднего, до некоторой степени сглаженного результата можно достичь еще лучше, складывая первоначально абсолютные числа для Германии и Штатов и выводя из этой суммы указанный результат по годам n через 5 лет. Так и сделано во второй таблице, в столбце, обозначенном через y, выражая опять число жителей в процентах. Числа этого столбца, конечно, очень близки к числам последнего столбца предшествующей таблицы. Но в них все же должно ждать ряд разных мелких погрешностей, неизбежно свойственных как самим, так и рассчитанным из них результатам.
Полученные таким образом числа для у приведены в табл. 2 в столбце со знаком у. Сличение этих чисел с ранее выведенными показывает, что разность между ними очень невелика и касается только десятых долей процента, что допустимо уже по необходимости ждать в переписях лишь относительной точности, так как абсолютная точность ни в этих, ни в каких опытных числах по самому существу невозможна.
Таблица 2
Желая узнать сущность закона распределения жителей по возрастам, остановимся над соотношением полученных у и n. Для них необходимо ждать еще некоторых отступлений, зависящих в данном случае например от того, что в 60-х годах в Америке господствовала междоусобица между северными и южными штатами, а в то же время Германия вела войну с Австрией и к началу 70-х годов вела большую войну с Францией, что должно было нарушать не только стройность чисел рождаемости, но и смертность для лиц в зрелом военном возрасте, а это должно отразиться на числе жителей, родившихся в этих и следующих годах (т. е. для лиц, имеющих при переписи 30–40 лет), и на числе мужчин в возрасте около 50–60 лет, потому что они были во время этих войн в цветущей молодости, преимущественно падавшей во время войн. Не умножая подобных примеров, должно ясно сознавать, что наблюдение и расчет должны между собой немного отличаться, если отыскивается закон нормального распределения по возрастам, который один представляет свой научный интерес.
Но и указанные отступления от нормы не должны, по существу, превосходить некоторого, притом небольшого, предела; например, не должны касаться целых процентов, а ограничиваться их долями, потому что числа извлечены из целого числа миллионов, а отступления касаются только сотен тысяч. Сколько мне известно, еще никто не принимался за вопрос о нормальном законе распределения числа жителей по возрастам, и если я решаюсь приняться за такой трудный новый опрос, то лишь по той причине, что верю в закон больших средних чисел и в правильность всяких отношений, кажущихся на первый взгляд зависящими лишь от частной воли и от случайного сцепления обстоятельств. Эта уверенность внушена долгим изучением явлений природы, а оно приводит к заключению, что все крупное общее среднее всегда оказывается закономерным, хотя всегда состоит из ряда мелочей, носящих на первый взгляд капризный индивидуальный характер.
Максвелловская теория газов — лучший пример для этого, и я не упущу случая внушить молодежи склонность к изучению представлений, подобных максвелловским, если хотят разобраться в вопросах социологии. Не желая усложнять изложения, я ограничиваюсь этим намеком и обращаюсь к примеру распределения народонаселения по возрастам как к такому, в котором можно уже видеть значение общих крупных чисел и закономерную в них стройность. Ведь механику, физику, химию изучали вначале исключительно приемами качественными и описательными, причем были, в сущности, рабами действительной природы, а понемногу становятся ее господами, подмечая присущую явлениям этого рода закономерность. Ведь и там изучению подлежат лишь частности, и всякое измерение сопряжено с неизбежными погрешностями, а общее крупное оказывается состоящим из данного числа капризных мельчайших отдельностей, в крупном же общем среднем все эти мелкие капризы исчезают, и тогда выступает основной, Божеский закон, который один делает рабов действительными господами предпринимаемого и предстоящего.
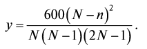
Не только в переносном, но и в подлинном смысле отдельный человек есть не что иное, как атом, и в совокупности людей, т. е. в крупных числах, до них относящихся, должно ждать такой же простоты и правильности, как в числах, получаемых от так называемой мертвой природы. Вот одна из тех заветных моих мыслей, которую очень желательно мне внушить будущим поколениям русского юношества, приложение которой к действительности я желал бы демонстрировать при помощи данных о народонаселении, и прежде всего о распределении по возрастам. Беглый взгляд на графическое выражение зависимости между у и n показывает уже, что они расположены по стройной, или, как привыкли выражаться математически, правильной, кривой линии. Найти законность — значит найти алгебраическую зависимость между у и n, т. е. между возрастом и числом жителей этого возраста. Геометрические соображения простейшего свойства показывают, что первое приближение к истине получится уже тогда, когда эту зависимость представим в виде вертикальной параболы, т. е. выразим:
у = А + Вn + Сn2 (I)
где А, В и С — суть постоянные числа, а y и n — переменные (ординаты и абсциссы кривой). Ни одной минуты я не думаю, что такое выражение есть окончательное и вполне точное, утверждаю только, что оно очень близко удовлетворяет действительности и отступает от нее лишь на величины недалекие, подобные разностям между у 1-й и 2-й таблиц. Числа, разочтенные по формуле, приведены в последних столбцах табл. 2. Сходство вычисленных и наблюденных у наглядно показывает степень применимости вышеозначенной формулы.
Для ее нахождения, т. е. для определения числовых значений коэффициентов А, В, С, очевидно, достаточно трех данных, а их гораздо более. Каждые три данные у и n дадут свои коэффициенты, нужно найти некоторые вероятнейшие А, В и С и можно было бы руководствоваться при этом правилами способа наименьших квадратов, а так как n равно отстоят друг от друга, то можно было бы прибегнуть к известному приему моего покойного друга П. Л. Чебышева, развитому мною при исследовании колебания весов. Но в данном случае есть два соображения, упрощающих дело.
Во-первых, n есть число не беспредельно большое, а ограниченное некоторым пределом N, показывающим тот средний наибольший возраст, примерно около 100 лет, до которого доживают люди в настоящее время и при котором их число впадает в пределы точности опытных чисел и выводимой формулы{120}. Следовательно, при n = N величина у может быть принята равной нулю. В то же время должно признать прямо, судя по числам и действительности, что у, или число жителей, достигает при возрасте N своей наименьшей величины, а потому на основании известного закона минимумов В + 2Сn при этом равно 0, т. е. В = — 2CN. Во-вторых, выражая у в процентах, очевидно, что сумма всех у от 0 до N = 100, что разрешает отношение между С и N и приводит к следующему выводу, касающемуся А, В и С в формуле (I), а именно{121}:
Подставляя эти выражения для А, В и С в уравнение (I), получим:
Это показывает, что по первому приближению, или первой законности в распределении числа жителей по возрастам, значение у-ов исчерпывается знанием n-ов и одним постоянным предельным возрастом N, а через это нахождение всей зависимости между у и n упрощается до крайности, т. е. из каждого отдельного значения и соответствующего ему n получается свое N. Если N расчесть на основании данных для малых возрастов, то выходит N не менее 110, даже до 115 лет. Если же это сделать на основании чисел уже стариков, то N выходит не только гораздо меньшим, но даже меньшим 100 лет, показывая этим, что в последние десятилетия вместе с возрастанием прироста (с отсутствием войн, развитием просвещения и пр.) увеличились условия для продолжительности человеческой жизни.
Это определяется, по всей вероятности, не столько успехом медицины и гигиены, сколько развитием благосостояния и уменьшением шансов погибнуть в зрелом возрасте, не доживая до старости; получаемые для разных значений n величины предельного возраста N, очевидно, не могут быть тождественны между собою и тем ближе к истине или вероятнейшему, чем более величина у. На основании этого и рассчитана средняя величина N, и она оказалась лежащею вблизи от N= 105 до N = 110 лет для той совокупности данных, которые взяты из приведенных выше переписей Германии и Соединенных Штатов. Подставляя эти числа, получаем
у = 0,000?2629(105 — n)2;
у = 0,000?2285(110 — n)2. (III)
Числа, рассчитанные по этим выражениям, приведены в последних столбцах табл. 2. Необходимость привести два ряда разочтенных чисел отчасти еще выясняется из последующего изложения.
Сличение разочтенных чисел с наблюдением для у-ов показывает, что наши выражения (I) или (II) вообще, а в частности (III) для Германии и Штатов недалеко отступают от действительности, т. е. что распределение населения по возрастам довольно точно выражается параболою 2-го порядка, т. е. в таком деле, как распределение по возрастам, господствует в норме при данных условиях правильная общая закономерность, что и требовалось показать для того, чтобы понемногу вселять убеждения в правильной закономерности социальных отношений, кажущихся капризными и сбивчивыми. Для показания этого же общего начала я приведу еще одно доказательство, относящееся к общему числу жителей С.-А. С. Штатов, но предварительно считаю не лишним остановиться над некоторыми обстоятельствами, относящимися к возрастному распределению.
Напомню, однако, вновь о том, что я не считаю свою формулу окончательною, а потому делаю лишь намеки на то, чего можно достичь со временем, когда найдется истинная формула и когда можно будет выводить из нее совершенно строгие следствия. Те следствия, которые выводятся из принятой нами формулы, очевидно суть только приблизительные, но и они наводят на такие размышления, которые, кажется, не следует упускать социологам из вида. Притом следствий этих много, а я могу здесь остановиться лишь над немногими из них, касающимися рождаемости, смертности, средней продолжительности жизни и среднего возраста всех жителей разных стран. Надо повторить при этом, что, признавая выставляемую закономерность лишь дающею первое приближение к истине, нельзя ручаться за полную точность выводимых следствий, но тем не менее над ними следует остановиться для того, собственно, что очень часто, особенно за последний век, числами, так сказать, баловались, не заботясь о приложении полученных выводов к каким бы то ни было жизненным явлениям, а моей заветною мыслью служит то соображение, что математический разбор явлений действительности тогда только служит для надлежащего уяснения предмета и для истинного познания вещей, когда он не только выводится из действительных данных, но когда в то же время он и дает следствия, непосредственно с действительностью связанные и представляющие для нее свой интерес.
Рождаемость, выраженная в процентных числах жителей, весьма сильно изменяется по странам, т. е. гораздо значительнее, чем распределение по возрастам. Для России она близка к 4,8 %, а во Франции — к 2,5 %; для других же стран Европы получаются промежуточные числа. Из формул можно полагать или ждать, что при N = 105 рождаемость (n = 0) выражается{122} 2,77 %, а при N = 110 она рассчитывается равною 2,76 %.
Для Германии рождаемость достигает ныне 3,7 %, если считать и мертворожденных, а за их исключением все же более 2,7–2,8 %, а именно около 3,5 %. Мне кажется, однако, что причину разности расчета от действительности должно приписывать не столько неполной точности нашей формулы, сколько тому, что в первое время после рождения и в Германии, как повсюду, мало умеют ухаживать за детьми и часть рожденных можно как бы причислить к мертворожденным, т. е. не считать в общем счете жителей. Но так как я считаю свои формулы (I) и (II) лишь первым приближением, и рождаемость представляет своего рода экстраполирование (т. е. расчет за пределом исходных данных, которые у нас начинаются с n = 1), то и не считаю надобным более останавливаться над этим предметом особенно потому, что в некоторых странах (Бельгия, Швейцария, Ирландия) распределение по возрастам близко отвечает нашему расчету (по III формуле) и в них рождаемость близка к 2,7 %, т. е. к формульной.
Мне кажется даже, что совпадение для некоторых стран (Бельгия, Швеция и др.) рождаемости с выводом, получаемым из распределения по возрастам, показывает, что в этих странах умеют столь же хорошо ухаживать за беременными матерями и новорожденными, как за лицами других возрастов.
В других же странах, например у нас в России, большой процент смертности в первые месяцы жизни не только не отвечает распределению жителей по возрастам, но и заставляет ждать преувеличенного числа или коэффициента рождаемости, показывая недостаточное знакомство жителей с гигиеной младенцев, бедность родителей, т. е. скудость страны и недостаток в ней медицинской помощи. Затем не излишне указать на то, что с увеличением предельного возраста N процент рождаемости должен падать. Объяснение этому видно уже из того, что с увеличением предельного возраста должно возрастать число стариков и старух, не способных к деторождению, и уже чрез это одно процент рождаемости должен падать.
Величина смертности, например выраженная процентом умерших за год в отношении к числу всех жителей, еще сильнее рождаемости изменяется по странам, временам, народам и обстоятельствам, особенно изменчиво распределение смертности в детском возрасте.
Процент смертности лиц известного возраста быстро падает, начиная от самого рождения, так что смертность в норме повсюду в первый год после рождения очень велика, даже не считая мертворожденных.
Общий же процент смертности на 100 жителей, т. е. количество лиц всех возрастов, умерших в течение года, изменяется от 3,5 % в России до 1,7 % в Скандинавии. В Германии, где смертность была до 1890 г. близка к 2,6 % (ук. соч.), числа рождаемости, смертности и прироста так быстро изменяются за последнюю половину XIX в., что достойны особого внимания:
Тут примечательно явное возрастание естественного прироста от 1 до 1,5 %, явная зависимость этого возрастания от уменьшения процента смертности и видимое уменьшение разности между естественным и действительным приростами, зависящее от убыли за последнее время эмиграции. Это все, без малейшего сомнения, зависит от того, что Германия в это время стала, видимо, богатеть, а причину этого должно искать не только в расширении просвещения, но и в развитии всех видов промышленности, достигнутом прежде всего сильным и настойчивым протекционизмом как всем отраслям промышленности, так и рабочему населению. Это такая же манера действия или, если угодно, та же политика, от которой так разбогатели в свое время Англия, Франция и С.-А. С. Штаты.
Быстрота убыли смертности в Германии и несомненность того, что это уменьшение, как и весь прогресс страны, зависит от правительственных мероприятий, явно указывают как на то, что в числах, относящихся к народонаселению, прежде всего видны плоды всех основных действий страны, так и на то, что числа смертности и прироста более и быстрее, чем возрастное распределение и рождаемость, изменчивы и отражают всю современную историю стран. Этим я желал бы ограничить свои здесь заметки о смертности, но полагаю не лишним для ясности добавить еще несколько беглых указаний.
Более 800 000 книг и аудиокниг! 📚
Получи 2 месяца Литрес Подписки в подарок и наслаждайся неограниченным чтением
ПОЛУЧИТЬ ПОДАРОКДанный текст является ознакомительным фрагментом.
Читайте также
Глава V
Глава V Впервые — ОЗ, 1876, № 10 (вып. в свет 21 октября), стр. 567–597, под заглавием «Экскурсии в область умеренности и аккуратности», с порядковым номером «V». Подпись: Н. Щедрин. Рукописи и корректуры не сохранились.В первом отдельном издании (1878) текст главы отличается от
Глава VI
Глава VI Впервые в изд.: М. Е. Салтыков-Щедрин. В среде умеренности и аккуратности, СПб. 1878, стр. 173–176. Рукописи и корректуры не сохранились.Написано специально для отдельного
ГЛАВА V
ГЛАВА V Первая редакция О первой публикации первоначальных редакций пятой главы «Итогов» и установлении их последовательности см. выше, стр. 657–658. Первая редакция представляет собою черновой автограф с многочисленными вставками и несколькими вычерками. На полях
ГЛАВА I
ГЛАВА I В мундирной практике всех стран и народов существует очень мудрое правило: когда издается новая форма, то полагается срок, в течение которого всякому вольно донашивать старый мундир. Делается это, очевидно, в том соображении, что новая форма почти всегда застает
ГЛАВА II
ГЛАВА II Представьте себе, что в самом разгаре сеяний, которыми так обильна современная жизнь, в ту минуту, когда вы, в чаду прогресса, всего меньше рассчитываете на возможность возврата тех порядков, которые, по всем соображениям, должны окончательно кануть в вечность,
ГЛАВА IV
ГЛАВА IV Стало быть, ежели нет возможности формулировать, чего мы желаем, что любим, к чему стремимся, и ежели притом (как это доказала ревизия Пермской губернии), несмотря на благодеяния реформ, человек, выходя из дому с твердым намерением буквально исполнять все
ГЛАВА V[12]
ГЛАВА V[12] К числу непомнящих родства слов, которыми так богат наш уличный жаргон и которыми большинство всего охотнее злоупотребляет, бесспорно принадлежит слово «анархия».Употребление этого выражения допускается у нас в самых широких размерах. Стоит только
ГЛАВА V[19]
ГЛАВА V[19] Первая редакцияК числу непомнящих родства слов, которые чаще всего подвергаются всякого рода произвольным толкованиям, несомненно принадлежит слово «анархия».Герои улицы прибегают к этому выражению во всевозможных случаях. Прикасается ли человек к вопросам,
ГЛАВА V
ГЛАВА V Первая редакцияО первой публикации первоначальных редакций пятой главы «Итогов» и установлении их последовательности см. выше, стр. 657–658.Первая редакция представляет собою черновой автограф с многочисленными вставками и несколькими вычерками. На полях
Глава 6 «Главная глава». Замещение
Глава 6 «Главная глава». Замещение На страницах книги мы обсуждали те факторы, которые позволяют слугам царицы Толерантности последовательно и неумолимо идти к достижению собственных целей. Давайте их кратко вспомним и предварительно подытожим. Сократить рождаемость в
Глава II Народонаселение
Глава II Народонаселение Численное доказательство прогресса нашего времени по сравнению с прошлыми веками. — Возрастной состав народонаселения у половины всего человечества. — Предельный и средний возрасты народов. — Переходное состояние России Почти все суждения
Глава 4 В которой глава кремлевской администрации Дмитрий Медведев создал новое российское сословие
Глава 4 В которой глава кремлевской администрации Дмитрий Медведев создал новое российское сословие Дмитрий Медведев производит очень необычное для политика впечатление — он кажется хорошим человеком. По нему видно, что он не очень уверен в себе, — особенно это
Глава 5 В которой глава администрации президента Украины Виктор Медведчук остался последним украинцем, которому верит Путин
Глава 5 В которой глава администрации президента Украины Виктор Медведчук остался последним украинцем, которому верит Путин В начале нулевых Медведчук на фоне украинских политиков выглядел как человек из космоса. Абсолютный европеец, совершенно не похожий на
Глава 26
Глава 26 Сдержанное нетерпение, готовое перейти в безудержную радость — вот что чувствует арестант, которого заказали с вещами, если существует хотя бы теоретическая возможность освобождения. Своеобразие состояния заключается и в том, что твоё положение на тюрьме может,
Глава 27.
Глава 27. Да, я от Вашей жены, не сомневайтесь. Там все живы, здоровы. Сейчас она с дочерью в Японии. Надолго. Мы созваниваемся. Если не верите, я попробую принести сотовый телефон. Риск очень высок, но решать Вам. Если скажете, то принесу.Нет, я Вам верю.Стало совсем легко. В